
Sanayi ve Teknoloji Bakanlığı’nın açıkladığı 2025 'Yerli Katkı Oranı' raporu, Togg’un T10X ve T10F modellerinin Türkiye’de üretilen araçlar arasında en yüksek yerlilik oranına ulaştığını ortaya koydu. Rapor, hem SUV hem de sedan elektrikli modellerde artan yerli katkının ÖTV matrahına olumlu yansıyarak tüketicinin lehine bir sonuç doğurduğunu gösteriyor.

Sanayi ve Teknoloji Bakanlığı, yerli otomobil hamlesinin merakla takip edilen başlığını oluşturan 2025 “Motorlu Araçlar Yerli Katkı Oranı” raporunu yayımladı. Açıklanan verilere göre Togg’un T10X ve T10F modelleri, Türkiye’de üretilen otomobiller arasında en yüksek yerlilik oranına ulaşarak hem elektrikli araç pazarındaki konumunu pekiştirdi hem de yerli tedarik zincirinin güçlendiğini gösterdi.

Türkiye’nin ilk elektrikli SUV ve sedan modellerinde yerlilik payı açıklandı
Sanayi ve Teknoloji Bakanlığı, 2025 yılı için hazırladığı “Motorlu Araçlar Yerli Katkı Oranı” raporunu yayımlayarak Türkiye’de üretim yapan tüm markaların beyanlarını kamuoyuna sundu. Rapora göre Togg’un T10X SUV ve T10F sedan modelleri, 2025 üretim döneminde yerli katkı oranı en yüksek araçlar arasında yer aldı.

T10X SUV’de yükselen yerli katkı oranı
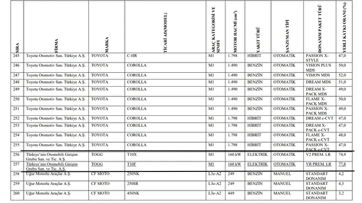
Togg’un Gemlik tesislerinde üretilen T10X modeli için yerlilik oranı 2025 yılı itibarıyla %74,9 olarak hesaplandı.
2022 sonunda seri üretime başlayan elektrikli SUV, 2023’ten bu yana teslimatlara devam ederken Türkiye genelinde 30 bin adedin üzerinde satış rakamına ulaşmıştı. Bu yıl açıklanan oran, modelin geçen yılki yaklaşık %72 seviyesinin üzerine çıkarak tedarik zincirinin daha da yerlileştiğini ortaya koyuyor.

T10F sedan modelinde daha yüksek yerli katkı
Elektrikli sedan segmentindeki kayda değer artışın öncülerinden olan T10F’in yerli katkı oranı ise %77,8 olarak duyuruldu.
Son üç aylık periyotta satışları 6 bin adedi aşan T10F, Türkiye'nin elektrikli otomobil pazarındaki büyümesini destekleyen başlıca modellerden biri hâline geldi.

Yerlilik oranının tüketiciye etkisi
Yüksek yerli katkı, Türkiye’de uygulanan ÖTV matrah hesaplamalarında avantaj sağlıyor. Bu durum, özellikle yerli üretimi teşvik eden düzenlemeler kapsamında tüketiciye daha düşük vergi yükü olarak yansıyor.
Temmuz 2025’te yürürlüğe giren düzenleme ile yerli oranı %40’ın üzerinde olan bazı araçlar, belirli kamu kurumlarında ÖTV muafiyeti kapsamına alınmıştı.

Togg’un üretim stratejisi ve elektrikli araç pazarı
Her iki modelde de artan yerlilik oranı, Togg’un tedarik ağını Türkiye merkezli olarak genişletme hedefinin bir sonucu olarak değerlendiriliyor. T10X ve T10F, hem yerli elektrikli araç üretim kapasitesini hem de iç pazardaki elektrikli otomobil satışlarını yukarı taşıyarak Türkiye’nin mobilite alanındaki konumunu güçlendirmiş durumda.







