
TOKİ tarafından 100 bin sosyal konut projesi kapsamında Kocaeli Körfez Yarımca Mahallesi 1. Etap 496, 2.Etap 1.Bölge 564 Konut Projesi ve 2.Etap 2. Bölge 446 Konut Projesi kapsamında yer alan; 2+1 konut tipinden 1.041 adet ve 3+1 konut tipinden 465 adet olmak üzere toplam 1.506 adet konut için konut belirleme kurası çekiliyor. İşte TOKİ Kocaeli Körfez Yarımca Mahallesi İlimtepe Mevkii konut belirleme kura sonuçları isim listesi.

TOKİ Kocaeli Körfez Yarımca Mahallesi konut belirleme kura sonuçları ile hak sahiplerinin konutların yerleri belirleniyor. Toplu Konut İdaresi Başkanlığı (TOKİ) tarafından 100 Bin Sosyal Konut Projesi kapsamında, Kocaeli Körfez Yarımca Mahallesi İlimtepe Mevkii 1. ve 2. etap Konut Projesi’nde inşa ettirilen; 2+1 nitelikli 1.041 adet ve 3+1 nitelikli 465 adet olmak üzere toplamda 1.506 adet konut için Konut Belirleme Kurası yapılmakta. Kura çekilişleri TOKİ’nin YouTube hesabından canlı yayın ile yapılmakta. İşte TOKİ Kocaeli Körfez Yarımca Mahallesi konut belirleme kura sonuçları isim listesi.
































































Konut belirleme kurasından sonra Gayrimenkul Satış Sözleşmesi hak sahipleri tarafından 23 Aralık 2024 – 18 Şubat 2025 tarihleri arasında, bu tarih aralığında sözleşme imzalamayanlar, 19 Şubat 2025 – 21 Şubat 2025 tarihler arasında T.C. Ziraat Bankası A.Ş. – Kocaeli Körfez Şubesi’nde imzalayabileceği gibi, ayrıca T.C.Ziraat Bankası A.Ş.’nin Ülke genelindeki tüm şubelerinde de sözleşme imzalanabilecektir.

Hak sahiplerine konutlar, başvuru bedeli düşüldükten sonra kalan tutar; %10 peşin ve 180 ay vade ile taksitlendirilecek olup, peşinat sözleşme imzalama aşamasında tahsil edilecektir.
Hak sahiplerinin konutlarına ait kalan borç bakiyesi ve aylık taksitler her yılın Ocak ve Temmuz aylarında olmak üzere yılda iki kez, bir önceki 6 aylık dönemdeki Memur Maaş Artış Oranı’na göre artırılacaktır. Taksit ödemeleri, teslim tarihini takip eden ay itibariyle başlatılacaktır. İlk dönemsel artış teslim tarihine göre İdarece belirlenecektir.

Memur maaş artış endeksi ile sözleşme imzalayan hak sahipleri teslim tarihinden
itibaren 1 (bir) yıl sonra Sözleşmeden doğan haklarını üçüncü şahsa devredebilecektir.
Konutların peşinat bedeli üzerinden %0,5 (binde beş) banka komisyonu ve banka komisyonu üzerinden yüzde %5 (yüzde beş) BSMV satış aşamasında Banka tarafından tahsil edilecektir. Alıcılar konut satış bedelinin %1’inden az olmamak şartı ile ek peşinat verebileceklerdir.

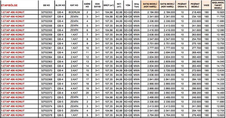
3+1 Konut Satış Fiyat listesi









