
YKS 2024 taban puanları ve başarı sıralamaları, üniversite sınavın ardından araştırılmaya başladı. 2024 YKS sınavı sona erdi ve adaylar heyecanla sınav sonuçlarını bekliyordu. Üniversite sınav sonuçlarının açıklanmasıyla birlikte 2024 YKS taban puanları da merak konusu olmaya başladı. YKS taban puanları tek başına bir şey ifade etmez. Aynı zamanda başarı sıralamanızı da göz önünde bulundurmanız gerekir. Peki, 2 ve 4 yıllık YKS taban puanları açıklandı mı? YKS taban puanları ne zaman açıklanacak? 2024 YKS taban puanları nereden öğrenilir? Üniversitelerin 2024 YKS başarı sıralaması kaç? İşte detaylar.

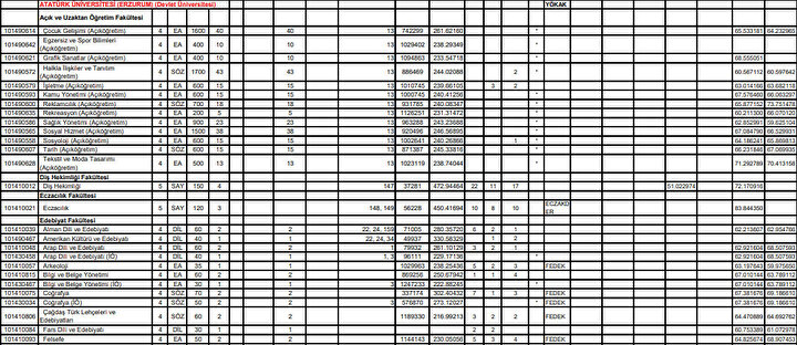
2024 YKS taban puanları ve başarı sıralamaları henüz açıklanmadı. YKS sınav sonuçları ÖSYM tarafından erişime açıldı. YKS taban ve tavan puanları, yerleştirme işlemleri yapıldıktan sonra açıklanacak. Adaylar geçtiğimiz yılın taban puanlarına göre tercihlerini oluşturacak. İşte ÖSYM’nin yayımladığı 2023 yılı Yükseköğretim Programları Kontenjanları Kılavuzu Taban Puanları ve Başarı Sıralamaları.

2 yıllık ön lisans taban puanları ve başarı sırası
İşte 2023 Yılı Merkezi Yerleştirme İle Öğrenci Alan Yükseköğretim Ön Lisans Programları:















YKS 4 yıllık ön lisans taban puanları ve başarı sırası
İşte 2023 Yılı Merkezi Yerleştirme İle Öğrenci Alan Yükseköğretim Lisans Programları:





















